所有分类
搜索产品

原装进口试剂

沪慧生物试剂

原装进口抗体

耗材仪器类

综合类产品

大包装试剂及原料

磁珠系列产品

 
产品中心
沪慧(上海)生物科技有限公司  
订购/客服热线:400-138-0886  
地址:上海市金山区亭林镇寺平南路19号3幢2938室
沪慧生物试剂      您的当前位置:首页 -> 产品中心 -> 沪慧生物试剂  
产品编号:L12855 产地:沪慧
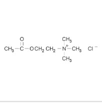
中文名称:氯化乙酰胆碱 原货号:L12855
英文名称:Acetylcholine chloride 规格:100G
分 子 式:L12855 分 子 量:现货
CAS# :60-31-1 单位:瓶
型号 单价: ¥900.00         折扣价:¥900.00
备注:C7H16ClNO2 MW:181.66 Purity≥98% Store:18~26℃
中文别名:900英文别名:0
危 险 品: 危险系数:
在线订购: 产品说明书: 
产品属性:

英文名称:ACH;Acetylcholine chloride; 2-(Acetyloxy)-N,N,N-trimethylethanaminium chloride 

其他名称:乙酰氯化胆碱;2-(乙酰氧基)-N,N,N-三甲基乙铵氯化物;氯化乙酰氧基三甲基乙铵;乙酰基氯化胆碱;(2-羟乙基)乙酰三甲基氯化铵;氯乙酰胆碱

CAS号:60-31-1

C7H16C1NO2=181.66

含量:≥98% 

比旋光度:+15~+18o

熔点:146~153℃

干燥失重:≤0.5%

硫酸盐:≤0.5%

性状(以下信息仅供参考):白色结晶。溶于冷水,可被热水和碱分解,溶于乙醇、氯仿(18.2 g/l,23℃)。实际上不溶于醚。极易吸湿。无气味或几乎无气味。对光敏感。有刺激性

用途:本品仅供科研,不得用于其它用途。(以下用途仅供参考)测定乙酰胆碱酯酶的底物。 

保存:RT,避光

版权所有:沪慧(上海)生物科技有限公司      沪ICP备18027770号-1