所有分类
搜索产品

原装进口试剂

沪慧生物试剂

原装进口抗体

耗材仪器类

综合类产品

大包装试剂及原料

磁珠系列产品

 
产品中心
沪慧(上海)生物科技有限公司  
订购/客服热线:400-138-0886  
地址:上海市金山区亭林镇寺平南路19号3幢2938室
沪慧生物试剂      您的当前位置:首页 -> 产品中心 -> 沪慧生物试剂  
产品编号:S12941 产地:沪慧
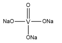
中文名称:正钒酸钠,十二水合物 原货号:S12941
英文名称:Sodium orthovanadate 规格:250G
分 子 式:S12941 分 子 量:现货
CAS# :13721-39-6 单位:瓶
型号 单价: ¥320.00         折扣价:¥320.00
备注:Na3VO4 MW:183.91 Purity≥98% Store:18~26℃
中文别名:320英文别名:0
危 险 品: 危险系数:
在线订购: 产品说明书: 
产品属性:

英文名:Sodium orthovanadate

别名:十二水钒酸钠;正钒酸钠

CAS号:13721-39-6

分子式:Na3VO4

分子量:183.91

溶解度:可溶于水中

储存条件:RT

白色至类白色粉末

用途: 钒酸钠属于无机盐化合物,主要用作催化剂、油漆催干剂、媒染剂、缓蚀剂等,也用于制备其他钒盐。

注意: 本公司产品只提供用于科研实验研究,不可用于临床,家庭使用,不可食用及其它用途。

版权所有:沪慧(上海)生物科技有限公司      沪ICP备18027770号-1