所有分类
搜索产品

原装进口试剂

沪慧生物试剂

原装进口抗体

耗材仪器类

综合类产品

大包装试剂及原料

磁珠系列产品

 
产品中心
沪慧(上海)生物科技有限公司  
订购/客服热线:400-138-0886  
地址:上海市金山区亭林镇寺平南路19号3幢2938室
沪慧生物试剂      您的当前位置:首页 -> 产品中心 -> 沪慧生物试剂  
产品编号:P12985 产地:沪慧
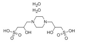
中文名称:哌嗪-N,N-双(2-羟基丙烷磺酸) 原货号:P12985
英文名称:POPSO 规格:100G
分 子 式:P12985 分 子 量:现货
CAS# :68189-43-5 单位:瓶
型号 单价: ¥160.00         折扣价:¥160.00
备注:C10H22N2O8S2 MW:362.4 Purity≥99% Store:18~26℃
中文别名:160英文别名:0
危 险 品: 危险系数:
在线订购: 产品说明书: 
产品属性:

英文名:POPSO;Piperazine-1,4-bis(2-hydroxypropanesulfonic acid) ;Piperazine-N,N'-bis(2-hydroxypropanesulfonic acid)

别名:哌嗪-N,N-双(2-羟基丙烷磺酸)(POPSO) ;哌嗪-N,N'-二(2-羟基丙磺酸)

CAS号:68189-43-5

分子式:C10H22N2O8S2·xH2O

分子量:362.42 

溶解度: 可溶于1MNaOH:0.1 M,透明,无色

储存条件: RT

用途: 生物缓冲剂;用于生物研究的新型两性离子缓冲液

注意: 本公司产品只提供用于科研实验研究,不可用于临床,家庭使用,不可食用及其它用途。

版权所有:沪慧(上海)生物科技有限公司      沪ICP备18027770号-1