所有分类
搜索产品

原装进口试剂

沪慧生物试剂

原装进口抗体

耗材仪器类

综合类产品

大包装试剂及原料

磁珠系列产品

 
产品中心
沪慧(上海)生物科技有限公司  
订购/客服热线:400-138-0886  
地址:上海市金山区亭林镇寺平南路19号3幢2938室
沪慧生物试剂      您的当前位置:首页 -> 产品中心 -> 沪慧生物试剂  
产品编号:T12988 产地:沪慧
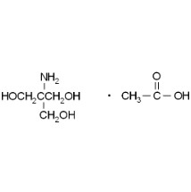
中文名称:三(羟甲基)氨基甲烷醋酸盐 原货号:T12988
英文名称:TRIS acetate salt 规格:500G
分 子 式:T12988 分 子 量:现货
CAS# :6850-28-8 单位:瓶
型号 单价: ¥320.00         折扣价:¥320.00
备注:C4H11NO3.C2H4O2 MW:181.19 Purity≥99% Store:18~26℃
中文别名:320英文别名:0
危 险 品: 危险系数:
在线订购: 产品说明书: 
产品属性:

英文名:TRIS acetate salt

别名:三羟甲基氨基甲烷醋酸盐;TRIS醋酸盐;三(羟甲基)氨基甲烷醋酸盐

CAS号:6850-28-8

分子式:C4H11NO3·C2H4O2

分子量:181.19

溶解度: 在水中的溶解度0.5 Mat 20 °C,澄清,无色

三羟甲基氨基甲烷醋酸盐外观上呈白色结晶粉末,溶于水等有机溶剂。

用途 在带有萤火虫荧光素酶ATP检测中,该品是最灵敏的缓冲液;谷氨酸结合检测。
注意: 本公司产品只提供用于科研实验研究,不可用于临床,家庭使用,不可食用及其它用途。

版权所有:沪慧(上海)生物科技有限公司      沪ICP备18027770号-1