所有分类
搜索产品

原装进口试剂

沪慧生物试剂

原装进口抗体

耗材仪器类

综合类产品

大包装试剂及原料

磁珠系列产品

 
产品中心
沪慧(上海)生物科技有限公司  
订购/客服热线:400-138-0886  
地址:上海市金山区亭林镇寺平南路19号3幢2938室
沪慧生物试剂      您的当前位置:首页 -> 产品中心 -> 沪慧生物试剂  
产品编号:M13013 产地:沪慧
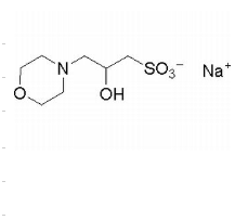
中文名称:3-(N-吗啉)-2-羟基丙磺酸钠盐 原货号:M13013
英文名称:MOPSO sodium salt 规格:25G
分 子 式:M13013 分 子 量:现货
CAS# :79803-73-9 单位:瓶
型号 单价: ¥40.00         折扣价:¥40.00
备注:C7H14NO5SNa MW:247.24 Purity≥99% Store:18~26℃
中文别名:40英文别名:0
危 险 品: 危险系数:
在线订购: 产品说明书: 
产品属性:

中文名称:3-(N-吗啡啉)-2-羟基丙磺酸钠盐

英文名:MOPSO sodium salt

别名:3-吗啉-2-羟基丙磺酸钠

CAS号:79803-73-9

分子式:C7H14NO5SNa

分子量:247.24

Purity≥99%

溶解度:H2O:1 Mat 20 °C,透明,无色

外观: 白色结晶性粉末

储存条件: RT

用途 一种两性氨基磺酸盐缓冲剂,其结构与MOPS相似。作为包括DNA凝胶电泳在内的各种生物应用中的缓冲成分。

仅用于研发。不作为药品、家庭或其它用途。

 

版权所有:沪慧(上海)生物科技有限公司      沪ICP备18027770号-1