所有分类
搜索产品

原装进口试剂

沪慧生物试剂

原装进口抗体

耗材仪器类

综合类产品

大包装试剂及原料

磁珠系列产品

 
产品中心
沪慧(上海)生物科技有限公司  
订购/客服热线:400-138-0886  
地址:上海市金山区亭林镇寺平南路19号3幢2938室
沪慧生物试剂      您的当前位置:首页 -> 产品中心 -> 沪慧生物试剂  
产品编号:C13019 产地:沪慧
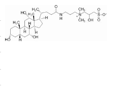
中文名称:3-[(3-胆胺丙基)二甲基氨基]-2-羟基-1-丙磺酸内盐 原货号:C13019
英文名称:CHAPSO 规格:1G
分 子 式:C13019 分 子 量:2-3天
CAS# :82473-24-3 单位:瓶
型号 单价: ¥380.00         折扣价:¥380.00
备注:C32H58N2O8S MW:630.88 Purity≥99% Store:2~8℃
中文别名:380英文别名:0
危 险 品: 危险系数:
在线订购: 产品说明书: 
产品属性:

中文名称:3-[(3-胆固醇氨丙基)二甲基氨基]-2-羟基-1-丙磺酸

英文名:CHAPSO

别名:3-[(3-胆胺丙基)二甲基氨基]-2-羟基-1-丙磺酸内盐

CAS号:82473-24-3

分子式:C32H58N2O8S

分子量:630.88

Purity≥99%

外观: 白色结晶性粉末

储存条件: 2~8℃

用途 非变性的zwitterionic 去垢剂,等同于CHAPS, 虽然它带有极性更强的头部基团。常用于溶解细胞膜内表面蛋白。

仅用于研发。不作为药品、家庭或其它用途。

 

版权所有:沪慧(上海)生物科技有限公司      沪ICP备18027770号-1