 |
沪慧(上海)生物科技有限公司 订购/客服热线:400-138-0886 地址:上海市金山区亭林镇寺平南路19号3幢2938室 |
|
|
 |
沪慧生物试剂 |
您的当前位置:首页 -> 产品中心 -> 沪慧生物试剂
|
|
| 产品编号:T13023 |
产地:沪慧 |
| 中文名称:三羟甲基甲胺基丙磺酸 钠盐 |
原货号:91000-53-2 |
| 英文名称:三羟甲基甲胺基丙磺酸 钠盐 |
规格:100G |
| 分 子 式:91000-53-2 |
分 子 量:现货 |
| CAS# :91000-53-2 |
单位:瓶 |
| 型号: |
单价:
¥300.00
折扣价:¥300.00
|
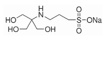
| 备注:C7H17NNaO6S MW:265.26 Purity≥99% Store:18~26℃ |
| 中文别名:300英文别名:0 |
| 危 险 品: |
危险系数: |
在线订购: |
产品说明书:  |
|
 |
| 产品属性: |
中文名称:DIPSO单钠盐
英文名:TAPS sodium salt
别名:3-[N-[三(羟甲基)甲基]氨基]丙磺酸钠
CAS号:91000-53-2
分子式:C7H16NNaO6S
分子量:265.26
Purity≥99%
储存条件:RT
仅用于研发。不作为药品、家庭或其它用途。 |
|
|