 |
沪慧(上海)生物科技有限公司 订购/客服热线:400-138-0886 地址:上海市金山区亭林镇寺平南路19号3幢2938室 |
|
|
 |
沪慧生物试剂 |
您的当前位置:首页 -> 产品中心 -> 沪慧生物试剂
|
|
| 产品编号:A13026 |
产地:沪慧 |
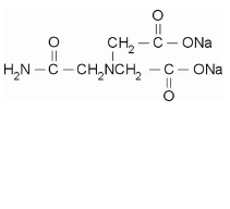
| 中文名称:乙酰氨基亚胺乙酸 二钠盐 |
原货号:A13026 |
| 英文名称:ADA disodium salt |
规格:25G |
| 分 子 式:A13026 |
分 子 量:现货 |
| CAS# :41689-31-0 |
单位:瓶 |
| 型号: |
单价:
¥90.00
折扣价:¥90.00
|
| 备注:C6H8N2O5Na2 MW:234.12 Purity≥99% Store:18~26℃ |
| 中文别名:90英文别名:0 |
| 危 险 品: |
危险系数: |
在线订购: |
产品说明书:  |
|
 |
| 产品属性: |
中文名称:乙酰氨基亚胺乙酸 二钠盐
英文名:ADA-2Na
别名:N-(2-乙酰胺基)亚氨基二乙酸二钠盐
CAS号:41689-31-0
分子式:C6H8N2Na2O5
分子量:234.12
Purity≥99%
储存条件:RT
用途 生物缓冲液。
仅用于研发。不作为药品、家庭或其它用途。 |
|
|