所有分类
搜索产品

原装进口试剂

沪慧生物试剂

原装进口抗体

耗材仪器类

综合类产品

大包装试剂及原料

磁珠系列产品

 
产品中心
沪慧(上海)生物科技有限公司  
订购/客服热线:400-138-0886  
地址:上海市金山区亭林镇寺平南路19号3幢2938室
沪慧生物试剂      您的当前位置:首页 -> 产品中心 -> 沪慧生物试剂  
产品编号:B13239 产地:沪慧
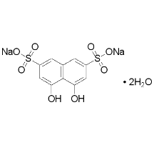
中文名称:变色酸 原货号:B13239
英文名称:Chromotropic acid 规格:5G
分 子 式:B13239 分 子 量:现货
CAS# :148-25-4 单位:瓶
型号 单价: ¥35.00         折扣价:¥35.00
备注:C10H8O8S2 MW:320.3 Purity≥98% Store:18~26℃
中文别名:35英文别名:0
危 险 品: 危险系数:
在线订购: 产品说明书: 
产品属性:

中文名称: 变色酸

英文名:Chromotropic acid

别名:4,5-二羟基-2,7-萘二磺酸;铬变酸;1,8-二羟基萘-3,6-二磺酸

CAS号:148-25-4

分子式:C10H8O8S2

分子量:320.3

外观:固体结晶

溶解性:溶于水。

储存条件:RT

用途 测定铬、钛和甲醛,检定铬、汞、银、钛、氯酸盐、甲醛、硝酸盐和亚硝酸盐,偶氮染料中间体。

仅用于研发。不作为药品、家庭或其它用途。

版权所有:沪慧(上海)生物科技有限公司      沪ICP备18027770号-1