 |
沪慧(上海)生物科技有限公司 订购/客服热线:400-138-0886 地址:上海市金山区亭林镇寺平南路19号3幢2938室 |
|
|
 |
沪慧生物试剂 |
您的当前位置:首页 -> 产品中心 -> 沪慧生物试剂
|
|
| 产品编号:S13249 |
产地:沪慧 |
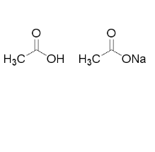
| 中文名称:双乙酸钠 |
原货号:S13249 |
| 英文名称:Sodium diacetate |
规格:500G |
| 分 子 式:S13249 |
分 子 量:现货 |
| CAS# :126-96-5 |
单位:瓶 |
| 型号: |
单价:
¥45.00
折扣价:¥45.00
|
| 备注:C4H7NaO4 MW:142.09 Purity ≥99% Store:18~26℃ |
| 中文别名:45英文别名:0 |
| 危 险 品: |
危险系数: |
在线订购: |
产品说明书:  |
|
 |
| 产品属性: |
中文名称: 双乙酸钠
别名:双乙酸钠;二乙酸钠,双醋酸一钠,二乙酸草钠盐,二醋酸一钠,双乙酸氢钠
CAS号:126-96-5
分子式:C4H7NaO4
分子量:142.09
外观:白色固体
溶解性:易溶于水(1g/ml)和乙醇
储存条件:RT
用途 防腐剂;防霉剂;酸度调节剂:螯合剂。
仅用于研发。不作为药品、家庭或其它用途。 |
|
|