所有分类
搜索产品

原装进口试剂

沪慧生物试剂

原装进口抗体

耗材仪器类

综合类产品

大包装试剂及原料

磁珠系列产品

 
产品中心
沪慧(上海)生物科技有限公司  
订购/客服热线:400-138-0886  
地址:上海市金山区亭林镇寺平南路19号3幢2938室
原装进口试剂      您的当前位置:首页 -> 产品中心 -> 原装进口试剂  
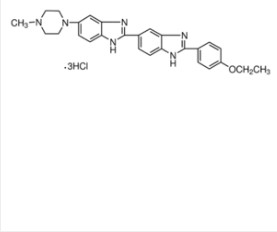
产品编号:B2261-25MG 产地:SIGMA-ALDRICH原装
中文名称:赫斯特荧光染料 33342 原货号:B2261
英文名称:bisBenzimide H 33342 trihydrochloride 规格:25MG
分 子 式:B2261 分 子 量:2-3天
CAS# :23491-52-3 单位:瓶
型号 单价: ¥433.46.00         折扣价:¥412.00
备注:≥98% (HPLC and TLC) 分子式 C27H28N6O · 3HCl · xH2O 分子量 561.93 (anhydrous basis) storage temp:
中文别名:412英文别名:0
危 险 品: 危险系数:
在线订购: 产品说明书: 
产品属性:
版权所有:沪慧(上海)生物科技有限公司      沪ICP备18027770号-1