 |
沪慧(上海)生物科技有限公司 订购/客服热线:400-138-0886 地址:上海市金山区亭林镇寺平南路19号3幢2938室 |
|
|
 |
原装进口试剂 |
您的当前位置:首页 -> 产品中心 -> 原装进口试剂
|
|
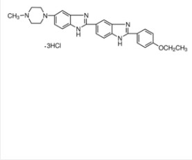
| 产品编号:B2261-100MG |
产地:SIGMA-ALDRICH原装 |
| 中文名称:赫斯特荧光染料 33342 |
原货号:B2261 |
| 英文名称:bisBenzimide H 33342 trihydrochloride |
规格:100MG |
| 分 子 式:B2261 |
分 子 量:2-3天 |
| CAS# :23491-52-3 |
单位:瓶 |
| 型号: |
单价:
¥1287.00
折扣价:¥1222.00
|
| 备注:≥98% (HPLC and TLC) 分子式 C27H28N6O · 3HCl · xH2O 分子量 561.93 (anhydrous basis) storage temp: |
| 中文别名:1222英文别名:0 |
| 危 险 品: |
危险系数: |
在线订购: |
产品说明书:  |
|
 |
| 产品属性: |
 |
|
|