所有分类
搜索产品

原装进口试剂

沪慧生物试剂

原装进口抗体

耗材仪器类

综合类产品

大包装试剂及原料

磁珠系列产品

 
产品中心
沪慧(上海)生物科技有限公司  
订购/客服热线:400-138-0886  
地址:上海市金山区亭林镇寺平南路19号3幢2938室
原装进口试剂      您的当前位置:首页 -> 产品中心 -> 原装进口试剂  
产品编号:C0768-5G 产地:sigma原装
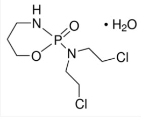
中文名称:环磷酰胺 一水合物 原货号:C0768
英文名称:Cyclophosphamide monohydrate 规格:5G
分 子 式:C0768 分 子 量:2-3天
CAS# :6055-19-2 单位:瓶
型号 单价: ¥2374.00         折扣价:¥2255.00
备注:bulk package 分子式(希尔表示法) C7H15Cl2N2O2P · H2O 分子量 279.10 storage temp:2-8°C
中文别名:2255英文别名:0
危 险 品: 危险系数:
在线订购: 产品说明书: 
产品属性:
版权所有:沪慧(上海)生物科技有限公司      沪ICP备18027770号-1