所有分类
搜索产品

原装进口试剂

沪慧生物试剂

原装进口抗体

耗材仪器类

综合类产品

大包装试剂及原料

磁珠系列产品

 
产品中心
沪慧(上海)生物科技有限公司  
订购/客服热线:400-138-0886  
地址:上海市金山区亭林镇寺平南路19号3幢2938室
原装进口试剂      您的当前位置:首页 -> 产品中心 -> 原装进口试剂  
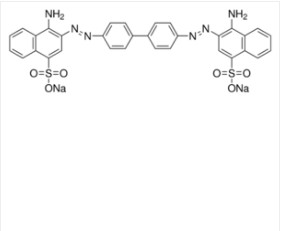
产品编号:C6767-25G 产地:sigma原装
中文名称:刚果红 原货号:C6767
英文名称:Congo Red 规格:25G
分 子 式:C6767 分 子 量:2-3天
CAS# :573-58-0 单位:瓶
型号 单价: ¥228.57.00         折扣价:¥217.00
备注:Dye content ≥35 % 分子式(希尔表示法) C32H22N6Na2O6S2 分子量 696.66 常温保存
中文别名:217英文别名:0
危 险 品: 危险系数:
在线订购: 产品说明书: 
产品属性:
版权所有:沪慧(上海)生物科技有限公司      沪ICP备18027770号-1