 |
沪慧(上海)生物科技有限公司 订购/客服热线:400-138-0886 地址:上海市金山区亭林镇寺平南路19号3幢2938室 |
|
|
 |
原装进口试剂 |
您的当前位置:首页 -> 产品中心 -> 原装进口试剂
|
|
| 产品编号:D5628-1G |
产地:sigma原装 |
| 中文名称:洋地黄皂苷 |
原货号:D5628 |
| 英文名称:Digitonin |
规格:1G |
| 分 子 式:D5628 |
分 子 量:2-3天 |
| CAS# :11024-24-1 |
单位:瓶 |
| 型号: |
单价:
¥3261.5.00
折扣价:¥3098.00
|
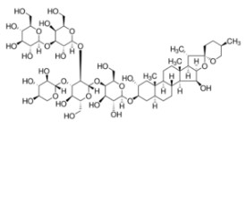
| 备注:~50% (TLC) 分子式(希尔表示法) C56H92O29 分子量 1229.31 常温保存 |
| 中文别名:3098英文别名:0 |
| 危 险 品: |
危险系数: |
在线订购: |
产品说明书:  |
|
 |
| 产品属性: |
 |
|
|