所有分类
搜索产品

原装进口试剂

沪慧生物试剂

原装进口抗体

耗材仪器类

综合类产品

大包装试剂及原料

磁珠系列产品

 
产品中心
沪慧(上海)生物科技有限公司  
订购/客服热线:400-138-0886  
地址:上海市金山区亭林镇寺平南路19号3幢2938室
沪慧生物试剂      您的当前位置:首页 -> 产品中心 -> 沪慧生物试剂  
产品编号:J12182-100G 产地:沪慧
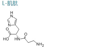
中文名称:L-肌肽 原货号:J12182
英文名称:L-Carnosine 规格:100G
分 子 式:J12182 分 子 量:现货
CAS# :305-84-0 单位:瓶
型号 单价: ¥290.00         折扣价:¥290.00
备注:C9H14N4O3 MW:226.23 Purity≥99% Store:-15~-20℃
中文别名:290英文别名:0
危 险 品: 危险系数:
在线订购: 产品说明书: 
产品属性:

别名: L-肌肽;β-氨基-L-丙酰组氨酸,N-β-丙氨酰-L-组氨酸 

介绍: L-肌肽是一种二肽,以毫摩尔浓度出现在大脑、肌肉和眼睛的晶状体上。

熔点: 253oC (dec.)(lit.) 

L-肌肽 二肽,具潜在的抗氧剂和抗糖基化活性;阻止乙醛诱导的非酶糖基化和蛋白质偶联。也是肌肽酶检测的底物。具细胞抗氧化,维持机体pH平衡

注意: 本公司产品只提供用于科研实验研究,不可用于临床,不可家庭使用,不可食用及其它用途。

版权所有:沪慧(上海)生物科技有限公司      沪ICP备18027770号-1